Documentation
JuliaMapping
The documentation for the JuliaMapping package developed for the book.
Breakers
The documentation for the Breakers package developed for the book to divide continuous data into bins.
CensusACS
The documentation for the CensusACS package developed for the book to retrieve census geometry and attribute data.
ColorVinter
The documentation for the ColorVinter package developed for this book to browse color ColorBrewer palettes.
GeoIDs
The documentation for the GeoIDs package developed for this book to manage large collections of geographic units using a PostgreSQL database.
Julia language
Julia academy
Courses at various levels on Julia/
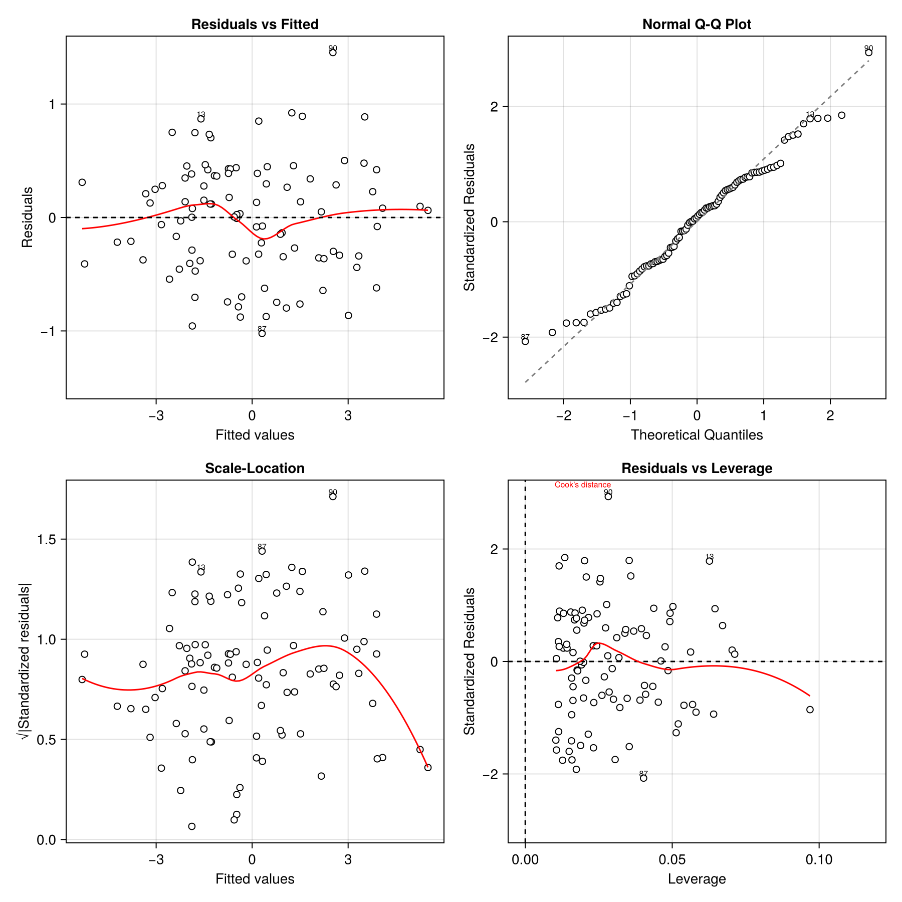
OLSPlots
The documentation for the OLSPlots package developed for this book for diagnostsic plots of ordinary least squares regression models. 
RSetup
The documentationj for the RSetup package developed for this book facilitating the use of the Julia Rcall package to interface with the R Programming Language
StateBins
The documentation for the StatesBin package developed for the book to prepare maps like this.